Convergence en loi \(X_n\overset{(\text{loi})}\longrightarrow X\)
On a la
Convergence étroite des
Lois \({\Bbb P}_{X_n}\) vers \({\Bbb P}_X\). $$\forall \varphi\in\mathcal C_b({\Bbb R}^d),\quad{\Bbb E}[\varphi(X_n)]{\underset{n\to+\infty}\longrightarrow}{\Bbb E}[\varphi(X)]$$
- caractérisation dans le cas discret : \(\forall x,{\Bbb P}(X_n=x){\underset{n\to+\infty}\longrightarrow}{\Bbb P}(X=x)\)
- dans le cas continu, \(p_n(x)\overset{pp}{\underset{n\to+\infty}\longrightarrow} p(x)\) entraîne la convergence en loi
- la convergence en loi est entraînée par tous les autres modes de convergence
- si \(X=a\in{\Bbb R}^d\) est une constante, alors la convergence en loi entraîne la converge en probabilité
- caractérisations (dans le cas continu) :
- Via le Théorème du porte-manteau
On a la convergence ponctuelle des Fonction de répartitions : \(F_{X_n}(t){\underset{n\to+\infty}\longrightarrow} F_X(t)\), pour tout \(t\in{\Bbb R}\) où \(F_X\) est continue
(théorème de Lévy) : on a la convergence ponctuelle des Fonction caractéristiques : \(\forall \xi\in{\Bbb R}^d,\Phi_{X_n}(\xi){\underset{n\to+\infty}\longrightarrow}\Phi_X(\xi)\)
Questions de cours
START
Ω Basique (+inversé optionnel)
Recto: Donner un exemple de famille de v.a. Discrètes qui converge en loi vers une v.a. À densité.
Verso:

Bonus:
Sommes de Riemann
Carte inversée ?:
END
START
Ω Basique (+inversé optionnel)
Recto: Donner un exemple de famille de v.a. À densité qui converge en loi vers une v.a. Discrète.
Verso:

Bonus:
Carte inversée ?:
END
START
Ω Basique (+inversé optionnel)
Recto: Expliquer pourquoi dans le cas général, la convergence en loi n'entraîne pas la convergence en probabilité.
Verso:

Bonus:
Carte inversée ?:
END
START
Ω Basique (+inversé optionnel)
Recto:

Donner un contre-exemple.
Verso:

Bonus:
Carte inversée ?:
END
Exo-Démo
Démontrer \((ii)\implies(i)\) :

1:

1i: On a des inégalités avec \(\varliminf\) et \(\varlimsup\) de \(F_{X_n}\) via le
Théorème du porte-manteau.
2:

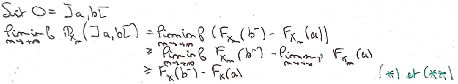
2i: Si \(O\) est un intervalle de \({\Bbb R}\), alors on peut ainsi minorer \(\varliminf{\Bbb P}_{X_n(]a,b[)}\).
3:

3i: Pour un ouvert quelconque de \({\Bbb R}\), on peut faire de même en le décomposant en intervalles ouverts disjoints.
4:

4i: Cela nous donne la
Convergence étroite par
Théorème du porte-manteau.
END
START
Ω Basique (+inversé optionnel)
Recto: Traduire le théorème de Lévy pour la
Convergence étroite.
Verso: $$\mu_n\overset{(e)}{\underset{n\to+\infty}\longrightarrow}\mu\quad\iff\quad \forall \xi\in{\Bbb R}^d,\hat\mu_n(\xi){\underset{n\to+\infty}\longrightarrow}\hat \mu(x)$$
Bonus: (
Transformée de Fourier)
Carte inversée ?:
END
Exercices